|
支付宝刷视频领红包大家有玩过吗?不仅可以看短视频,还能赚钱,这点还是不错的,那大家知道每天刷视频领红包的上限是多少吗?支付宝视频红包上限怎么解除?下面就和小编一起来看看吧。 
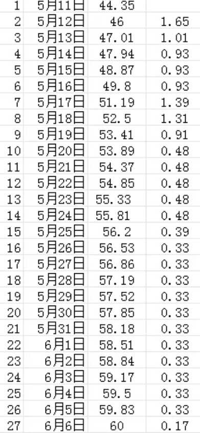
支付宝视频红包每天上限是多少支付宝视频红包每天上限是不定的,不同的金额上限也是不同的,上次刷60元每天的上限不到2元,大家可以看一下具体的金额记录: 
支付宝视频红包上限还差0.04元怎么办60块钱的红包最后一天刷到上限还没有拿到,去核对一下确实30天都刷满了,找客服就是不好意思不清楚呢,换了好几个客服都是一样的话术。去反馈了一下,刚刚打电话补偿了,看到有人说补偿后面又反悔我特意问了多久到账,客服说现在申请24小时内,电话还没挂红包就到账了 
支付宝视频红包上限怎么解除一定要刷短视频,不要刷长视频!我之前就是投机取巧,刷那种60分钟打坐音乐视频,结果没有领到 就后期而言 10块钱:15圈 25块钱:18圈 50块钱:22圈 100块钱:54圈、88圈,甚至100多圈。这取决于号非不非酋了 每天都要刷满,最好截图保存证据。如果每天刷满后还没有得到现金,及时找客服解决。 |